Nanomedicine, Volume I: Basic Capabilities

© 1999 Robert A. Freitas Jr. All Rights Reserved.

Robert A. Freitas Jr., Nanomedicine, Volume I: Basic Capabilities, Landes Bioscience, Georgetown, TX, 1999


 

6.2.2.2 Flywheels

The maximum energy that can be stored in an axially spinning flywheel is Efly = (1/2) Ifly wmax2, where wmax is the maximum angular velocity (bursting speed) given by Eqn. 4.17 and Ifly = (1/2) mr2 is the rotational inertia of a disk of radius r, height h, and mass m = p r2 h r. Dividing by disk volume, all geometric variables drop out giving maximum Estorage = (1/2) sw for flywheels of any size. Adopting a fairly aggressive working stress sw = 1011 N/m2, Estorage ~ 5 x 1010 joules/m3, an excellent power density. In 1998, commercially available electric micromotors already achieved energy storage densities of ~105-106 joules/m3.556

More intuitively, J. Sidles points out that the energy that can be stored in a compact flywheel is of the order of either:

1. the chemical binding energy per atom, times the number of atoms in the flywheel (~same as chemical energy storage), or

2. the yield stress of the material comprising the flywheel, times the volume.

Both methods give estimates that agree to within an order of magnitude. Thus flywheels offer little advantage over chemical fuels in terms of stored energy density (Section 6.2.3), regardless of their size or material composition.

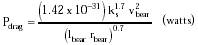
If high-velocity flywheels must ride on bearings of large stiffness, this may cause sufficient frictional drag to render flywheel energy storage impractical even for vacuum-isolated systems. Consider a cylindrical sleeve bearing of radius rbear and length lbear axially supporting the flywheel described in the previous paragraph with axial bearing stiffness of ks = 1000 N/m and bearing surface velocity vbear = vfly (rbear / r) and flywheel rim velocity vfly = (4 Estorage / r)1/2. According to Drexler,10 the drag power for a nanoscale bearing is dominated by bandstiffness scattering as:

{Eqn. 6.4}

The energy initially stored in the flywheel is:

{Eqn. 6.5}

so the time required for the flywheel to lose half of its energy due to drag friction, its "energy half-life" or t1/2, is:

{Eqn. 6.6}

Thus a flywheel of radius r = 200 nm and thickness h = 20 nm (m ~ 9 x 10-18 kg for diamond) supported by a bearing of radius rbear ~ h/2 = 10 nm and length lbear ~ h = 20 nm with maximum flywheel energy density Estorage = 5 x 109 joules/m3 has vfly = 2400 m/sec, vbear = 120 m/sec, Efly = 13 picojoules (pJ), Pdrag = 25 pW, so t1/2 = 0.35 sec and the flywheel loses 99% of its energy in just 2.3 sec. A much larger ~1 micron3 flywheel of radius r = 500 nm, thickness h = 1300 nm and rbear = 50 nm loses 99% of its energy in just 140 sec.

On the other hand, it may be possible to substantially improve the energy storage time if a bearing with much lower drag is available. R. Merkle points out that a spinning, perfectly symmetric diamondoid disk made of isotopically pure carbon and supported by two coaxial carbyne rods on either side should exhibit negligible bearing losses and no vibration. The carbyne rod is one dimensional, and the electron cloud along the rod is rotationally symmetric (for single and triple bonds), so the disk cannot readily interact with its rod supports. The major source of energy loss is off-axis rotation during spin-up which could induce vibration in the carbyne support, so spinning the disk up to speed may require larger bearings which could be disengaged after spin-up.

A lateral velocity sufficient to destroy the C-C carbyne bonds (~550 zJ/bond) is vdestroy ~ (2 Elateral / m)1/2 = 0.4 m/sec for r = 200 nm and h = 20 nm -- much larger than the flywheel thermal velocity vthermal ~ 0.04 m/sec (Eqn. 3.3). Since F ~ 30 nN of force will break a C-C bond (Section 4.4.1), a lateral acceleration sufficient to destroy the support rods requires F/m ~ 0.3 x 109 g's, far in excess of the ~0.4 g's typically anticipated for 1-micron spherical nanorobots in vivo (Section 4.3.3.2). Thermal noise will cause the flywheel housing and supports to jiggle, but the phonons will be transmitted along a one-dimensional pathway (the carbyne rod) which cannot couple to the disk rotation. Energy losses due to rotational resistance (as the nanorobot constantly rotates to new spatial orientations) can be made negligible using a nanogyroscopic gimballed housing (Section 4.3.4.1). Safety issues must also be addressed, such as providing energy-absorbing device housings that are highly explosion-resistant.

 


Last updated on 18 February 2003